International Journal of

ADVANCED AND APPLIED SCIENCES

EISSN: 2313-3724, Print ISSN: 2313-626X

Frequency: 12

line decor
  
line decor

 Volume 13, Issue 1 (January 2026), Pages: 125-133

----------------------------------------------

 Original Research Paper

Effect of organic matter on porosity changes in thermally treated oil shale based on the differential T 2 (DT 2) spectrum

 Author(s): 

 Congming Ma, Bei Qiu, Lifeng Fan *

 Affiliation(s):

 College of Architecture and Civil Engineering, Beijing University of Technology, Beijing 100124, China

 Full text

    Full Text - PDF

 * Corresponding Author. 

   Corresponding author's ORCID profile:  https://orcid.org/0000-0002-7744-692X

 Digital Object Identifier (DOI)

  https://doi.org/10.21833/ijaas.2026.01.013

 Abstract

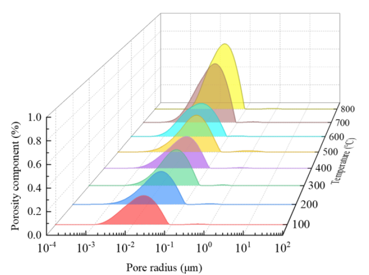
Evaluating the porosity of oil shale at high temperatures is essential for resource exploration and development. However, the organic matter in oil shale rock, which is naturally rich in hydrogen, complicates assessments made using nuclear magnetic resonance (NMR) technology. In this paper, the differential T 2 (DT 2) spectrum method is introduced to correct the effects of organic matter on porosity measurements using nuclear magnetic resonance (NMR). Firstly, the T 2 spectrum was obtained for both dry oil shale rock, which contains organic matter, and saturated oil shale rock, which contains both organic matter and pore water. Secondly, the DT 2 spectrum of pore water in oil shale rock was obtained to determine the porosity of the oil shale rock containing organic matter. Finally, the impact of organic matter on the variation in porosity of oil shale rock as temperature increases was discussed. The results indicate that the porosity of oil shale rock increases slightly when the temperature is below 400 °C and rises significantly between 400 °C and 800 °C. The rate of porosity changes in oil shale rock increases gradually between 100 °C and 400 °C. The rate of porosity change in oil shale rock increases significantly and then decreases between 400 °C and 800 °C. There is a specific temperature at which the porosity changes of oil shale transitions from rapid to gradual.

 © 2025 The Authors. Published by IASE.

 This is an open access article under the CC BY-NC-ND license (https://creativecommons.org/licenses/by-nc-nd/4.0/).

 Keywords

 Oil shale, Organic matter, Nuclear magnetic resonance (NMR), High-temperature treatment, Microstructural changes

 Article history

 Received 14 May 2025, Received in revised form 26 October 2025, Accepted 24 December 2025

 Acknowledgment

No Acknowledgment. 

 Compliance with ethical standards

 Conflict of interest: The author(s) declared no potential conflicts of interest with respect to the research, authorship, and/or publication of this article.

 Citation:

 Ma C, Qiu B, and Fan L (2026). Effect of organic matter on porosity changes in thermally treated oil shale based on the differential T 2 (DT 2) spectrum. International Journal of Advanced and Applied Sciences, 13(1): 125-133

  Permanent Link to this page

 Figures

  Fig. 1  Fig. 2  Fig. 3  Fig. 4  Fig. 5  Fig. 6  Fig. 7  Fig. 8  Fig. 9  Fig. 10  Fig. 11 

 Tables

 No Table   

----------------------------------------------   

 References (28)

  1. Alrwashdeh SS (2022). Energy sources assessment in Jordan. Results in Engineering, 13(3): 100329.  https://doi.org/10.1016/j.rineng.2021.100329    [Google Scholar]
  2. Bi J, Du C, Zhao Y, Wang CL, Lian SL, and Xiong XH (2023). Characterization of shear behavior and damage mechanism of periodic thermal loading sandstone based on NMR technique. Engineering Geology, 325: 107272.  https://doi.org/10.1016/j.enggeo.2023.107272    [Google Scholar]
  3. Burnham AK (2017). Porosity and permeability of Green River oil shale and their changes during retorting. Fuel, 203: 208-213.  https://doi.org/10.1016/j.fuel.2017.04.119    [Google Scholar]
  4. Daigle H and Johnson A (2016). Combining mercury intrusion and nuclear magnetic resonance measurements using percolation theory. Transport in Porous Media, 111: 669-679.  https://doi.org/10.1007/s11242-015-0619-1    [Google Scholar]
  5. Du M, Yang ZM, Jiang EY et al. (2024). Using digital cores and nuclear magnetic resonance to study pore-fracture structure and fluid mobility in tight volcanic rock reservoirs. Journal of Asian Earth Sciences, 259: 105890.  https://doi.org/10.1016/j.jseaes.2023.105890    [Google Scholar]
  6. Fan LF, Gao JW, Du XL, and Wu ZJ (2020). Spatial gradient distributions of thermal shock-induced damage to granite. Journal of Rock Mechanics and Geotechnical Engineering, 12(5): 917-926.  https://doi.org/10.1016/j.jrmge.2020.05.004    [Google Scholar]
  7. Feng YJ, Su HJ, Yu LY, Wu C, and Wang H (2023). Mixed mode I-II fracture mechanism of sandstone samples after thermal treatment: Insights from optical monitoring and thermal analysis. Theoretical and Applied Fracture Mechanics, 125: 103883.  https://doi.org/10.1016/j.tafmec.2023.103883    [Google Scholar]
  8. Feng ZQ, Jia CZ, Xie XN, Zhang S, Feng ZH, and Cross TA (2010). Tectonostratigraphic units and stratigraphic sequences of the nonmarine Songliao Basin, Northeast China. Basin Research, 22(1): 79-95.  https://doi.org/10.1111/j.1365-2117.2009.00445.x    [Google Scholar]
  9. Gautam PK, Verma AK, Sharma P, and Singh TN (2018). Evolution of thermal damage threshold of Jalore granite. Rock Mechanics and Rock Engineering, 51: 2949-2956.  https://doi.org/10.1007/s00603-018-1493-2    [Google Scholar]
  10. Ge XM, Chen H, Fan YR, Liu JT, Cai JC, and Liu JY (2017). An improved pulse sequence and inversion algorithm of T 2 spectrum. Computer Physics Communications, 212: 82-89.  https://doi.org/10.1016/j.cpc.2016.10.012    [Google Scholar]
  11. He Q, Chen SW, Wang GB, Zuo SY, and Yang FB (2023). Evolution of thermal cracking, temperature distribution and deformation at mineral scale of Beishan granite during heating and cooling. International Communications in Heat and Mass Transfer, 144: 106781.  https://doi.org/10.1016/j.icheatmasstransfer.2023.106781    [Google Scholar]
  12. Kang Z, Zhao Y, and Yang D (2020). Review of oil shale in-situ conversion technology. Applied Energy, 269: 115121.  https://doi.org/10.1016/j.apenergy.2020.115121    [Google Scholar]
  13. Lei J, Pan BZ, Guo YH, Fan YF, Xue LF, Deng SH, Zhang LH, and Ruhan A (2021). A comprehensive analysis of the pyrolysis effects on oil shale pore structures at multiscale using different measurement methods. Energy, 227: 120359.  https://doi.org/10.1016/j.energy.2021.120359    [Google Scholar]
  14. Li JB, Jiang CQ, Wang M et al. (2020). Adsorbed and free hydrocarbons in unconventional shale reservoir: A new insight from NMR T 1-T 2 maps. Marine and Petroleum Geology, 116: 104311.  https://doi.org/10.1016/j.marpetgeo.2020.104311    [Google Scholar]
  15. Ma Y, Wang HT, Wang WM, Zhou SX, Ding Y, Pan JL, Fu DL, and Li J (2020). The application of nuclear magnetic resonance T 1-T 2 maps in the research of sedimentary organic matter: A case study of early mature shale with type I kerogen. Journal of Petroleum Science and Engineering, 194: 107447.  https://doi.org/10.1016/j.petrol.2020.107447    [Google Scholar]
  16. Rabbani A, Baychev TG, Ayatollahi S, and Jivkov AP (2017). Evolution of pore-scale morphology of oil shale during pyrolysis: A quantitative analysis. Transport in Porous Media, 119: 143-162.  https://doi.org/10.1007/s11242-017-0877-1    [Google Scholar]
  17. Rossi E, Kant MA, Madonna C, Saar MO, and Rudolf von Rohr P (2018). The effects of high heating rate and high temperature on the rock strength: Feasibility study of a thermally assisted drilling method. Rock Mechanics and Rock Engineering, 51: 2957-2964.  https://doi.org/10.1007/s00603-018-1507-0    [Google Scholar]
  18. Saif T, Lin Q, Butcher AR, Bijeljic B, and Blunt MJ (2017). Microstructural imaging and characterization of oil shale before and after pyrolysis. Fuel, 197: 562-574.  https://doi.org/10.1016/j.fuel.2017.02.030    [Google Scholar]
  19. Tian H, He K, Huangfu YH, Liao FR, Wang XM, and Zhang SC (2024). Oil content and mobility in a shale reservoir in Songliao Basin, Northeast China: Insights from combined solvent extraction and NMR methods. Fuel, 357: 129678.  https://doi.org/10.1016/j.fuel.2023.129678    [Google Scholar]
  20. Wang CG, Zhang JD, Chen JG, Zhong RZ, Cui GL, Jiang YJ, Liu WT, and Chen ZW (2021). Understanding competing effect between sorption swelling and mechanical compression on coal matrix deformation and its permeability. International Journal of Rock Mechanics and Mining Sciences, 138: 104639.  https://doi.org/10.1016/j.ijrmms.2021.104639    [Google Scholar]
  21. Wang L, Zhao Y, Yang D, Kang Z, and Zhao J (2019). Effect of pyrolysis on oil shale using superheated steam: A case study on the Fushun oil shale, China. Fuel, 253: 1490-1498.  https://doi.org/10.1016/j.fuel.2019.05.134    [Google Scholar]
  22. Wu ZJ, Zhou YY, Weng L, Liu QS, Xiao Y, Hu MS, Steefel C, and Rutqvist J (2020). Investigation of thermal-induced damage in fractured rock mass by coupled FEM-DEM method. Computational Geosciences, 24(5): 1833-1843.  https://doi.org/10.1007/s10596-020-09970-5    [Google Scholar]
  23. Yang RF, Wang K, Zhang L, Sun H, Zhang K, and Ma JS (2019). Pore-scale simulation of shale oil flow based on pore network model. Fuel, 251: 683-692.  https://doi.org/10.1016/j.fuel.2019.03.083    [Google Scholar]
  24. Yuan SH, Sun Q, Li PF, Geng JS, and Zhang H (2022). Fracture properties and dynamic failure of three-point bending of yellow sandstone after subjected to high-temperature conditions. Engineering Fracture Mechanics, 265: 108366.  https://doi.org/10.1016/j.engfracmech.2022.108366    [Google Scholar]
  25. Zhan HL, Qin FK, Chen ST, Chen R, Meng ZH, Miao XY, and Zhao K (2022). Two-step pyrolysis degradation mechanism of oil shale through comprehensive analysis of pyrolysis semi-cokes and pyrolytic gases. Energy, 241: 122871.  https://doi.org/10.1016/j.energy.2021.122871    [Google Scholar]
  26. Zhang GL, Regaieg M, Blunt MJ, and Bijeljic B (2023). Primary drainage and waterflood capillary pressures and fluid displacement in a mixed-wet microporous reservoir carbonate. Journal of Hydrology, 625: 130022.  https://doi.org/10.1016/j.jhydrol.2023.130022    [Google Scholar]
  27. Zhang SL, Yan JP, Hu QH, Wang J, Tian TH, Chao J, and Wang M (2019). Integrated NMR and FE-SEM methods for pore structure characterization of Shahejie shale from the Dongying Depression, Bohai Bay Basin. Marine and Petroleum Geology, 100: 85-94.  https://doi.org/10.1016/j.marpetgeo.2018.11.003    [Google Scholar]
  28. Zheng YL, Ma ZJ, Gong QM, Zhang PH, Zhao XB, and Li JC (2022). Heating-dominated fracturing of granite by open-ended microwave: Insights from acoustic emission measurement. Rock Mechanics and Rock Engineering, 55: 4577-4589.  https://doi.org/10.1007/s00603-022-02887-8    [Google Scholar]